2022 수능 수학 1번 문항을 풀어보겠습니다.

이 문제는 중학교 때 배운 지수의 법칙을 이용해서 해결할 수 있는데, 그 법칙은 다음과 같습니다.

위 정리식을 0 또는 음의 정수인 지수로 확장하면 다음과 같이 정리됩니다.

수학 문제를 해결하는 데, 괄호가 있다면 괄호 안의 것을 먼저 계산합니다.

4는 2의 제곱이므로 다음과 같이 쓸 수 있겠습니다.

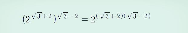
지수 법칙 ❶을 적용하면 아래처럼 계산할 수 있습니다.

괄호를 풀었으므로 이제 문제를 다시 쓰면 다음과 같습니다.

이제 지수 법칙 ❷를 적용하면 다음과 같습니다.

이제 지수 값을 계산해 주면 되겠네요.

따라서 구하고자하는 값을 다음과 같습니다.

정확한 연도는 기억이 나질 않지만, 수능 수학에서 98점 맞은 것이 화제였던 적이 있었던 걸로 기억납니다.
수능 수학에서 98점을 맞았다는 것은 그 어렵다는 킬러 문항을 모두 맞히었지만, 2점짜리인 1번 문제를 틀렸다는 말일 수 있습니다.
보통 수능 수학에서 1번 문항은 시험 범위인 수학I에서 첫 번째 단원인 지수 함수 관련 문제가 출제되는데, 배점은 거의 항상 2점이고, 비교적 문제 난도가 가장 낮은 것으로 알려져 있습니다.
그런데, 다른 문제를 맞고, 1번 문제를 틀렸다는 것은 문제 계산을 실수로 했거나 정답 표시를 실수했기 때문에 일어난 것이 아닐까 생각해 봅니다.
2022 수능 수학 1번 문제는 지금까지 나온 문제 중에서 지수가 무리수와 유리수의 뺄셈이 포함되어 있어서 당황했다고 하는 수험생이 많았다고 합니다. 작년과 올해는 팬데믹으르 학교에도 제대로 가지 못하고 시험 준비했을 수험생을 조금이라도 배려하는 마음이 있었다면 난이도를 수험생 입장에서 바라보았다면 1번부터 이러한 문제를 출제했다는 것이 아쉬움으로 남습니다.
| 삼차함수 비율 관계를 증명해 보자 (0) | 2021.12.04 |
|---|---|
| 삼차함수 변곡점 대칭 증명 (0) | 2021.12.03 |
| 삼차함수 극대 극소 차 공식 (1) | 2021.11.23 |
| 아름다운 3차 함수 비율 관계와 3차 함수 그래프 개형 (0) | 2021.11.21 |
| 2022 수능 수학 22번 해설, 풀이 (0) | 2021.11.20 |