이번 시간에는 지수함수와 관련된 문제를 풀어 보도록 하겠습니다. 다음과 같은 지수함수 관련 문제가 있다고 가정해 보겠습니다.

이 문제를 해결하기 위해서 먼저, 지수함수가 무엇인지에 관해서 살펴보도록 하겠습니다.

지수함수는 실수 지수의 정의에 따라, a>0인 경우만 생각해야 합니다. 또한, a=1이면 y=1로 상수항이 되므로 a≠1이라는 조건이 붙으며, 이때 모든 실수 x에 대하여 a의 x 제곱은 0보다 크게 됩니다.
a가 1보다 큰 수의 그래프와 a가 1보다 작은 수의 그래프는 y 축에 대칭인 함수가 됩니다.

위의 그래프처럼 밑이 1보다 크면 빨간색 선처럼 x값이 커짐에 따라 y 값도 증가하는 모습이 되고, a가 1보다 작으면 파란색 선처럼 x 값이 커짐에 따라 y값은 감소하는 모습이 됩니다.
또한, 지수함수는 다음과 같은 일반적인 특징이 있으니, 꼭 알아두시기 바랍니다.

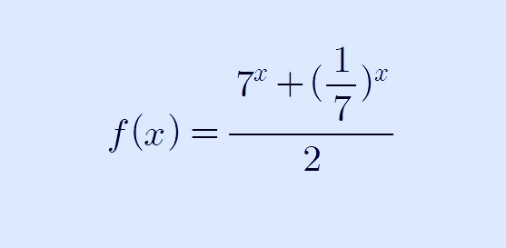
이제, 주어진 문제에서 f(x)를 다시 가져와 보겠습니다.

f(x)는 밑이 서로 역수의 관계인 지수함수를 더한 후, 2로 나눈 것이라고 되어 있습니다. 이 그래프는 서로 두 지수함수가 x일 때 가지는 함수의 값을 2로 나눈 것이므로 그래프로 표현하면 다음과 같게 됩니다. 즉 두 그래프에서 y의 평균값이라고 이해하면 되겠습니다.

따라서 f(x)는 y 축에 대칭인 그래프가 되므로, (1)의 내용은 맞는 설명이 됩니다.
g(x)의 그래프는 두 지수함수를 뺀 후, 2로 나눈 것이므로 다음과 같이 검은색 선 모양이 나오므로 y축 대칭이 아닙니다.

따라서, y=f(x)g(x)의 그래프는 x 값에 따라 위의 보라색의 y값과 검은색의 y값의 곱과 같으므로 대강적으로는 검은색 선과 비슷한 그래프가 되므로 y=f(x)g(x)는 y축 대칭이 안 되므로 틀린 설명이 되겠습니다.
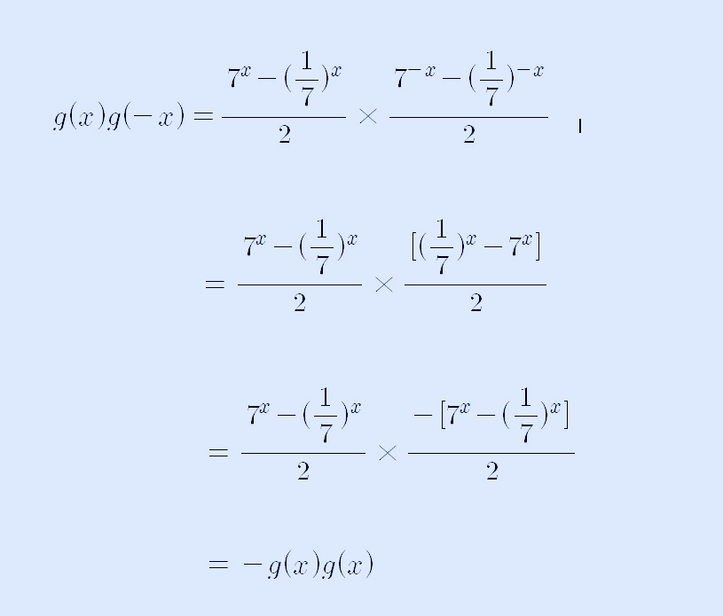
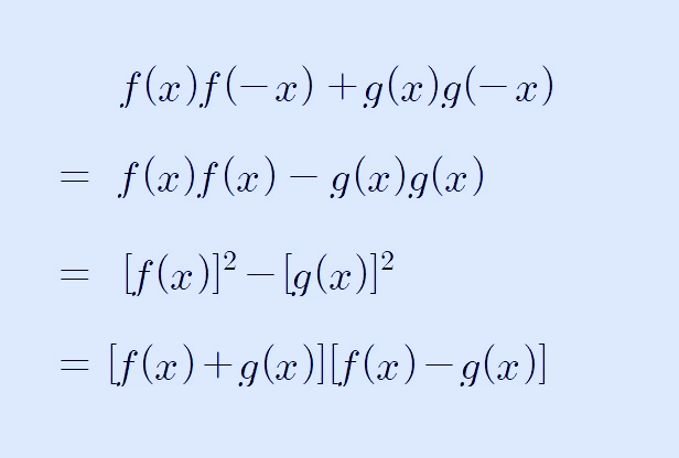
이제 (3)의 설명은 어떠한지 살펴보도록 하겠습니다. f(x)와 f(-x)는 서로 y축에 대칭이므로 결국엔 f(x)=f(-x)가 성립합니다. 또한, g(x)g(-x)는 다음과 같이 풀 수 있습니다.

결국 (3)번은 다음과 같이 쓸 수 있습니다.

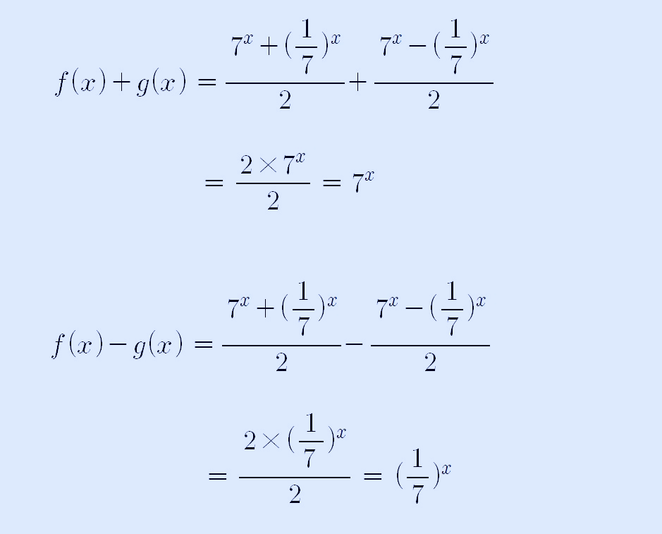
f(x) + g(x)의 값과 f(x) - g(x) 값을 구한 후, 곱하는 것과 같은 말이므로 다음과 같이 계산할 수 있습니다.

따라서, 두 곱셈은 1이므로 (3)번도 맞는 설명이 되겠습니다.
오늘 글을 마칩니다.
| sin 72도 는 어떻게 계산할 수 있을까? 삼각함수의 신비를 풀어보자 ft. 옥스퍼드 대학 수학 기출 (1) | 2023.03.05 |
|---|---|
| 특수 문자 수학 기호를 정리하다 (0) | 2023.01.28 |
| 지수 법칙의 응용 문제를 풀어보자 - 거듭제곱의 나눗셈, 곱셈 (1) | 2022.12.27 |
| 2023 수능 수학 22번 풀이 해설 - 평균값의 정리, 롤의 정리 (1) | 2022.11.18 |
| 수학 그래프 그리는 프로그램 알지오매스, 수학에 시각을 더하다 (0) | 2022.11.11 |