수학은 1등급인데,
영어는 9등급인 친구가 있었어요.
영어는 1등급인데,
수학은 9등급인 친구가 있었어요.
지금까지 살아보니,
수학과 영어는 결국 다른 이름의 언어라는 것을 조금은 깨달았았어요.
2023년 3월 수능 모의고사 수학 22번을 풀어 보도록 하겠습니다.

풀이 과정을 글로 쓰면 다음과 같습니다.
조건 1. f(x)는 최고차항의 계수가 1인 사차함수
4차함수가 수능 22번으로 예외는 있겠지만, 출제된다면 다음 3가지 그래프일 확률이 높기 때문에 그래프를 3개 그려 놓고 생각합니다. 이 중에서 첫 번째 그래프로 시작합니다.

조건 2. g(x) = |f(x) -t|
위 조건은 f(x)를 y 축으로 t만큼 평행 이동한 것을 절댓값으로 표현한 말과 같습니다. 절댓값의 다른 말은 t 아랫부분을 꺾어서 위로 올렸다는 말이므로 그래프로 그리면 대강 다음과 같습니다.

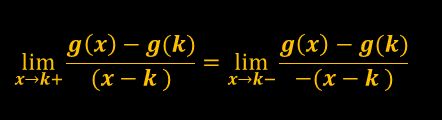
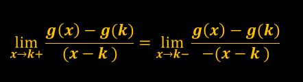
조건 3.

위 조건에서 분모에 절댓값이 있으므로 절댓값이 양수인 경우와 음수인 경우로 나누어서 생각합니다. 양수이면 x→k+, 음수이면 x→k-인 경우이고, 양수면 분모는 x-k, 음수이면 -(x-k)가 되며, 값이 존재해야 하므로 두 극한값은 같아야 합니다. 또한, 절댓값이 0이라면 g'(k)=0이 됩니다.

위 식을 간단히 하면 다음과 같습니다.
g'(k) = -g'(k)
이 말은 아래 그래프에서처럼 꺾인 점에서 k 값이 같다는 말이므로 다음과 같은 그래프가 되어야 합니다. 이러한 점이 4개 존재하겠네요.

위 그래프에서 g'(k)=0인 곳은 극값을 의미하므로 3개가 존재합니다. 따라서 t가 극댓값과 극솟값 사이에 있다고 하면, 점이 모두 7개가 됩니다.

그런데, 다른 주어진 조건에서

위와 같다고 했으므로 다음과 같이 5개 존재한다는 말이 성립합니다.
이 조건을 나머지 두 그래프에 적용하면 성립하지 않으므로 더 이상 생각할 필요가 없습니다.

문제의 주어진 다른 조건 h(t)=60, t=4에서 불연속이라고 했으므로 t가 극댓값일 때는 다음과 같이 5개가 존재하며, 극댓값과 극솟값의 값은 다음과 같이 표현할 수 있습니다.

이제, 마지막으로 주어진 조건 f(2)=4, f'(2)>0이라고 했으므로 최종적인 그래프는 다음과 같이 정리할 수 있습니다.

위 그래프의 함수식을 알기 위해서는 극댓값과 극솟값의 x 좌표를 알아야 합니다. 이 값은 아직 알지 못하기 때문에 알파와 베타라고 가정하면 다음과 같습니다.

알파와 베타 값을 구하기 위해서는 사차함수 비율관계와 사차함수 극대, 극소차 공식을 알고 있다는 전제하에 계속 계산해 보겠습니다.
https://nous-temperature.tistory.com/709
그럼 사차함수 비율 관계는? 4차함수 극대 극소 차이는?
사차함수 비율 관계에 관해서 알아보도록 하겠습니다. 수능이 얼마 남아 있지 않은 수험생을 위해 이유에 관해서는 이번 글에서는 생략하고 결과만을 제시해 봅니다. 먼저, 다음과 같은 4차함수
nous-temperature.tistory.com
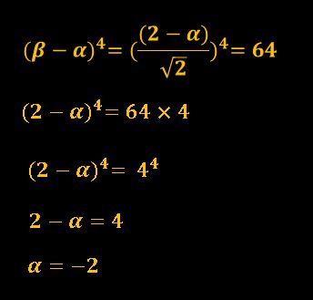
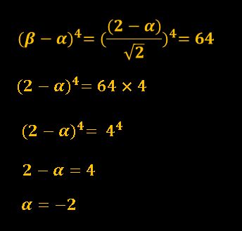
마지막 그래프에서 극댓값과 극솟값의 차이는 64이고, 극댓값과 극솟값의 거리와 극댓값에서 나머지 x좌표까지의 거리 비는 1 대 루트 2이므로 다음과 같이 표현할 수 있습니다.

이 비율 관계를 이용해서 알파와 베타는 다음과 같이 계산할 수 있습니다.


알파에서 x좌표 2까지 거리는 4이므로 알파엣허 왼쪽 직선까지 거리도 4가 되어야 하므로 나머지 한 곳의 x좌표는 6이 됩니다.

구하려는 f(x)는 다음과 같고, h(4)는 앞에서 구한 5이므로 f(4)의 값과 더하면 최종적으로 구하고자 하는 답이 나옵니다.

유튜브 영상으로 풀이법을 준비했습니다.
아이가 수학을 전공할 것도 아닌데,
이러한 문제를 왜 풀어야 하는지 모르겠다고 합니다.
물론 없을 수도 있습니다.
문제를 맞고, 틀리고를 떠나서,
이러한 문제를 해결하는 과정과 생각하는 힘을 통해,
때론 인생의 여러 상황에서 부딪히는
수많은 어려움을 극복할 수 있는
하나의 방법을 도출할 수 있으리라고 대답해 줍니다.
전부는 아닐지라도 말이죠.
| n축 합성함수 그래프 그리기, n축 스킬 (0) | 2023.04.17 |
|---|---|
| 원주율 구하기, 3.14 구하는 방법, 파이 구하는 공식에 대해 알아보자 (1) | 2023.04.02 |
| sin 72도 는 어떻게 계산할 수 있을까? 삼각함수의 신비를 풀어보자 ft. 옥스퍼드 대학 수학 기출 (1) | 2023.03.05 |
| 특수 문자 수학 기호를 정리하다 (0) | 2023.01.28 |
| 지수함수 그래프 관련 문제를 풀어보자 (0) | 2023.01.04 |