루트 2 값을 계산하는 방법에 관해서 지난 시간에 알아보았는데, 이번 시간에는 루트 2가 무리수인 이유에 관해서 설명해 보고자 합니다.
보통 루트 2가 무리수, 즉 유리수가 아니다는 정의는 다음과 같습니다.

위 내용의 증명을 위해서 유리수가 무엇인지 알아봅시다.
"유리수는 실수 중에서 두 정수 a와 b(b≠0)가 있을 때, 분수 a/b로 나타낼 수 있는 수를 말합니다." 예를 들면 1/2은 1과 2가 모두 정수이고 분수를 나타낼 수 있으므로 유리수가 됩니다. 또한, 1/2은 0.5와 같으므로 0.5도 유리수라 할 수 있습니다. 1/3도 유리수가 되겠습니다. 이를 소수로 나타내면, 0.333333....으로 끝이 없는 소수가 되는데, 이렇게 순환하는 소수도 유리수가 됩니다.
그럼, 무리수는 무엇일까요?
"무리수는 실수 중에서 유리수가 아닌 수, 즉, 두 정수 a와 b(b≠0)가 있을 때, 분수 a/b로 나타낼 수 없는 수를 말합니다."
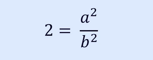
따라서, 루트 2가 유리수가 아닌, 즉 무리수임을 증명하기 위해서는 "유리수와 무리수"의 정의를 이용할 수 있습니다. 다음과 같이 루트 2를 유리수라고 가정해 보겠습니다. 그러면 루트 2는 다음과 같이 쓸 수 있습니다.

위 내용에서 "서로소"라는 말이 나오네요. "서로소"는 1 이외의 공약수를 갖지 않은 둘 이상의 정수를 말합니다. 분수 a/b는 a, b가 서로소일 때, 다른 말로 기약 분수라고 하는데, "기약 분수는 분수의 분자와 분모가 더 이상 약분이 되지 않은 분수를 말합니다" 다른 표현으로 하면, 분자와 분모의 공약수가 1 뿐이라서 더 이상 약분되지 않은 분수를 말합니다.
이제, 위 식의 양변을 제곱해 보겠습니다. 그러면 다음과 같이 계산됩니다.

루트 2의 제곱은 2가 되므로 위 식은 다음과 같이 쓸 수 있겠습니다.

위 식에서 양변에 b 제곱을 곱하면 아래와 같은 식이 됩니다.

위 식을 자세히 보면 b 제곱 앞에 2가 있습니다. b의 제곱을 2배 하면 이 수는 짝수가 됩니다. 왜냐하면 정수 앞에 2가 곱해져 있기 때문입니다. 정수 중에서 짝수를 제곱하면 짝수가 되고, 홀수를 제곱하면 홀수가 됩니다. 2의 제곱은 4, 3의 제곱은 9로 그 예를 들 수 있겠습니다.
따라서 2 곱하기 b의 제곱이 짝수이므로 a제곱도 짝수가 되며, a도 짝수가 됩니다. 따라서 a를 짝수로 표현할 수 있는 2p라고 한다면, 위 식은 다음과 같이 쓸 수 있습니다.

위 식에서 b 제곱 앞에 있는 2와 p 제곱 앞에 있는 4는 2로 약분할 수 있습니다. 따라서 2로 약분하면 다음과 같이 쓸 수 있습니다.

2 곱하기 p의 제곱은 앞서 언급한 것처럼 짝수입니다. 따라서 앞에 있는 b제곱도 짝수가 되고, b도 짝수가 됩니다.
앞서 a가 짝수가 되었는데, 이제 b도 짝수가 되어 버렸습니다. 그런데 a와 b가 서로소라고 했는데, a와 b가 짝수이면 약분이 된다는 말이므로 이는 두 수가 약분되지 않는다는 전제와 모순이 됩니다.
따라서, 루트 2는 유리수가 아니며, 무리수인 것입니다.
이상으로 루트 2가 무리수인 이유를 알아보았습니다.
| 쌀 한 톨의 무게와 제곱수의 위력 (4) | 2022.05.24 |
|---|---|
| 루트3 근사값 계산법과 무리수 증명 하기 (0) | 2022.03.20 |
| 한평 크기, 면적은 길이가 몇 미터? 루트 2 값 계산으로 알아보기 (1) | 2022.03.16 |
| 삼차함수 계수 부호 결정하기 (0) | 2022.03.14 |
| 삼차함수 1대 루트3 증명 (0) | 2022.03.05 |