삼차 함수 계수의 부호를 결정하는 방법에 관해서 알아봅시다.
삼차 함수 계수의 부호를 알아보기 위해서는 이차함수 계수의 부호를 아는 방법을 미리 살펴보는 것을 추천드립니다. 다음 글을 참고해 보세요.
https://nous-temperature.tistory.com/367
이차함수 그래프 계수 부호 구하기
수학 시험에서 모든 문제가 답을 구하는 데 5분 또는 10분이 걸리지 않을 것입니다. 일부 문제는 빠르게 구하여 시간을 확보하는 것이 필요할 수 있습니다. 계산하는 데 절대 시간이 필요한 문제
nous-temperature.tistory.com
예시를 들어서 먼저, 살펴보도록 하겠습니다.
다음과 같은 삼차 함수가 있고, 그래프가 다음과 같을 때, 계수의 부호를 결정하는 방법입니다.


위 삼차 함수를 보면, 먼저, 왼쪽 부분 아래에서 오른쪽 부분으로 위로 올라가는 형태의 그래프이므로 a는 양수가 됩니다. 또한, d는 y 절편(삼차 함수에서 x가 0 인 값, 또는 삼차 함수와 y축이 만나는 점)이고, 이 값이 위 그래프에서 0보다 위에 있는 점이므로 d는 양수입니다. 삼차 함수의 특징을 어느 정도 익힌 수험생이라면 a와 d의 부호는 그래프만 보아도 바로 알 수 있을 것입니다.
이제 c의 부호를 결정할 때입니다. c의 부호는 삼차 함수와 y축에서 만나는 점(=d)에서의 접선의 기울기와 같은 의미가 됩니다. 따라서, 아래처럼 c의 부호는 d에서 접선을 그으면 다음과 같은 모습이 됩니다.

위 그래프에서 파란색 선이 d에서 접선이고, 이 직선의 기울기가 양수이므로 c도 0보다 큰 양수가 됩니다.
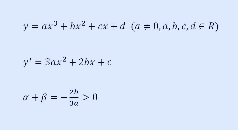
이제 b의 계수의 부호만 남았네요. 먼저, b의 부호를 알려면, 위 그래프에서 극댓값과 극솟값을 가지므로 그 값을 알파와 베타로 본다면 다음과 같이 쓸 수 있습니다.

위 그래프에서 극댓값과 극솟값의 x 좌표는 모두 양수이므로 알파와 베타의 합은 0보다 큰 값이 되므로 양수가 됩니다. 따라서 삼차 함수를 한번 미분한 값에서 두 근의 합이 양수라고 할 수 있습니다. 식으로 쓰면 다음과 같겠네요.

위 마지막 식에서 a는 양수이므로 -2b가 0보다 크려면, b는 음수, 즉 0보다 작아야 합니다. 이렇게 삼차 함수 계수의 부호를 모두 결정했습니다.

그런데 말이죠. 왼팔을 이용한 이차함수 계수의 부호를 결정할 때처럼 b의 부호는 좀 더 간단하게 구할 수 있을지도 모릅니다.
삼차 함수와 한번 미분한 값을 0이라고 한다면, x가 알파와 베타일 때 극댓값, 극솟값을 가지므로 이를 그래프로 나타내면 다음과 같습니다.

삼차식을 한번 미분한 값이 위의 파란색 이차식 그래프가 되었고, 이 이차식에서 2b는 x 계수이고, b의 부호는 2차식에서 x 계수의 부호이므로 이는 결국 이차식의 y절편에서 접선의 기울기의 부호와 같은 것이 됩니다. 다음과 같이 말이죠.

즉, b의 부호는 위 그래프에서 녹색 직선의 기울기의 부호와 같기 때문에 b는 음수가 되겠습니다.
몇 번만 규칙을 익히면, 삼차 함수 계수의 부호는 눈으로만 보아도 알 수 있을 듯합니다. b의 계수가 0, c의 계수가 0, d의 계수가 0인 것도 어렵지 않게 판별할 수 있겠네요.
이상으로 삼차 함수 계수의 부호를 눈으로만, 아니 두 팔을 이용해서, 그게 아니면 하나씩 계산해서 결정하는 방법을 알아보았습니다.
| 루트 2 무리수 증명 (0) | 2022.03.17 |
|---|---|
| 한평 크기, 면적은 길이가 몇 미터? 루트 2 값 계산으로 알아보기 (1) | 2022.03.16 |
| 삼차함수 1대 루트3 증명 (0) | 2022.03.05 |
| sin15 도, cos15 도, tan15 도 값 알아보기 (0) | 2022.02.26 |
| 2022 수능 생명과학2 오류 논란을 보면서 (2) | 2021.12.12 |