고등학교 다닐 때 선택한 문과로 인해, 가장 이해할 수 없었던 것이 e라는 숫자였습니다. 이 숫자의 의미를 그 당시 대강은 알고 있었지만, 문과에서는 나오는 경우가 없었으므로 기억 속에 사라졌던 숫자였죠. 이 e를 숫자로 말할 수 있는지 조차 잘 알지 못하지만, 수학자들이 뽑은 세상에서 가장 아름다운 식이 다음과 같이 표현되는 "오일러 등식"이라고 하니, 이를 이해해 보기 위해 다시 옛 기억과 자료를 찾아가며 제가 이해하는 만큼 기록으로 남기기 위해 이 글을 써 봅니다.

문과생이라 그런지 위 식에서 e의 개념을 알 수 없고, 허수인 i가 어떻게 지수로 사용될 수 있는지를 이해하지 못합니다. 하지만, 막연하게도 e의 개념을 안다고 하면, 허수 i가 지수로 사용된 것도 이해할 수 있을 듯하니, 먼저 e를 알아보아야겠습니다.
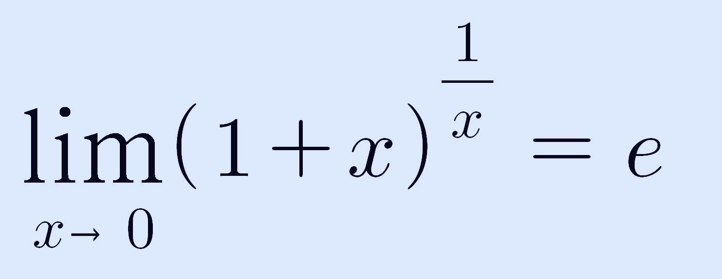
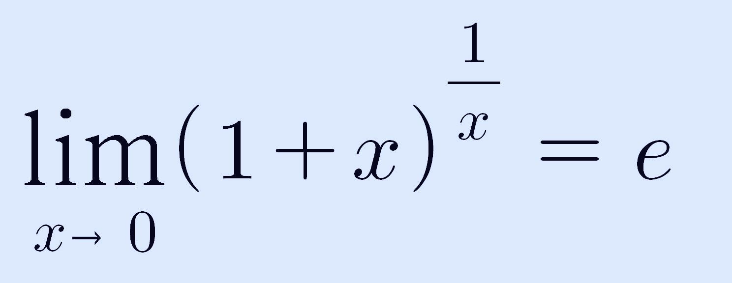
현재 제가 가지고 있는 2015 교육과정 고등학교 미적분 교과서에서 이 e를 다음과 같이 정의하고 있습니다.

이 식의 왼쪽 개념을 알기 위해서 x가 0보다 작은 소수, 0.1, 0.01, 0.001, 0.0001까지만 대입해 보겠습니다. 교과서에서 이 값은 답을 결과만 제시하고 있는데, 저는 다음과 같이 엑셀 프로그램을 사용해서 구해 보겠습니다.

4개만 계산해 보았는데, 결과 값이 증가하기는 하는데, 그 수치는 크게 늘어나지 않은 듯합니다.
이 정의만 보고는 이 수가 왜 이렇게 중요한지 이해를 하지 못하겠습니다.
그래서 자연상수 e,. 아니 무리수 e의 여러 유래에 관해서 찾아보니, 제가 아는 수학 지식으로 이해할 수 있는 것을 하나 가져와 보겠습니다.
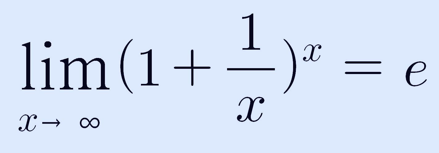
위 식은 다음과 같이 쓸 수도 있다고 합니다.

위 식은 처음 제시한 것과 약간 차이가 있습니다. 먼저, x가 0이 아닌 무한대이며, 괄호 안에 1 다음의 수가 x분의 1로 역수이며, 지수 또한 x로 처음 식과는 역수 관계가 있네요. 이 식에서 x 대신에 1, 2, 3, 4, 100을 대입해서 숫자를 계산해 보겠습니다. 이번에도 엑셀 프로그램을 이용해 봅니다.

이 계산식도 2.718...처럼 됩니다. 이 수는 계산해 보면 2.718.... 에 가까워지는 무리수라고 하며, e로 쓰고, 자연상수 e, 무리수 e, 네이피어 상수, 오일러 상수라고 불리는데, 요즘은 자연상수 e라는 명칭은 사용하지 않는다고 합니다. 교육과정 문서에도 e를 자연 상수로 부르지 않고 있으므로 저는 무리수 e라고 하겠습니다.
위 식에서 x분의 1(= 1/x)을 t로 치환하면 다음과 같이 풀 수 있습니다.

위의 식에서 t를 문자 x로 둔다면 결국 무리수 e는 다음과 같이 두 개의 식으로 정의할 수 있겠네요.

여기까지 이해하고 보니, 이 식이 왜 중요한가? 이 수는 어떻게 증명할 수 있는가? e는 왜 무리수인가? 등의 의문이 꼬리를 뭅니다. 이러한 의문을 풀기 위해서 먼저, 이 식이 나오게 된 계기라 할까?, 유래라 할까? 등을 알아보아야겠습니다.
찾아본 자료 중에서 문과 수준인 제가 이해하기 가장 쉬운 것은 "복리" 계산이 있었습니다.
예를 들어, 제가 100원을 1년간 은행에 100%인 이자로 맡기면 1년 후에는 100원의 100%의 이자는 100원이므로 저는 200원을 받게 되겠네요. 이를 식으로 나타내면 다음과 같이 쓸 수 있을 겁니다.

만약에 다른 은행이 6개월마다 50%씩 1년간 100% 이자로 계산해서 준다고 하면 1년 후에 받을 금액은 다음과 같이 쓸 수 있으며, 225만 원이 되겠습니다.

만약에 일 년에 4개월마다 한 번씩, 3번에 걸쳐서 위와 같은 방식으로 계산해 보면 다음과 같습니다. 아래 식을 보면, 마지막 237.203... 원은 1 더하기 3분의 1이 세 번 곱해졌다는 것을 볼 수 있습니다.

즉, 처음 원금 100원으로 놓고 마지막 값이 나오는 것을 살펴보면 다음과 같이 쓸 수 있겠습니다.

다시 한번 정리해 볼까요?
1년 복리: 200원
6개월 복리: 225원
4개월 복리: 237.203703...원
무엇인가 규칙성이 보네요.

앞에서 구한 값과 계산해 보니, 원금 100으로 나누면 위의 값과 같아진다는 것이 보입니다.
맞습니다. 자연상수 e, 아니 무리수 e는 수학자 존 네이피어가 이와 같은 개념을 발견했으며, 오일러는 e를 이름 지었다고 알려졌습니다. 대부분 오일러(Euler)의 e에서 유래했다고 말해지고 있지만, 이는 사실이 아니라는 것이 많은 논문에서 언급하고 있었습니다. 참고로 eu는 독일어로 '오이'처럼 발음입니다.
이렇게 써 놓고 보니, e라는 숫자가 신기하기는 하지만, 아직도 오일러 등식을 이해하기 위해서는 넘어야 할 산이 많아 보이네요. 다음에는 e를 밑으로 하는 자연로그에 관해서 더 공부해 보아야겠습니다.
| 2023 6월 모의고사 수학 22번 풀이 - 함수의 극한과 연속 (1) | 2022.06.10 |
|---|---|
| 점과 직선 사이의 거리 공식 증명 (3) | 2022.06.03 |
| 쌀 한 톨의 무게와 제곱수의 위력 (4) | 2022.05.24 |
| 루트3 근사값 계산법과 무리수 증명 하기 (0) | 2022.03.20 |
| 루트 2 무리수 증명 (0) | 2022.03.17 |