2022년 6월 9일 실시된 2023학년도 한국교육과정평가원 주관 고3 6월 모의고사 수학 15번 풀이법을 소개합니다. 문제에서 다음과 같은 수열이 제시되어 있습니다. 조건은 k는 자연수, a1= 0, a22=0가 되는 모든 k값의 합 구하기.

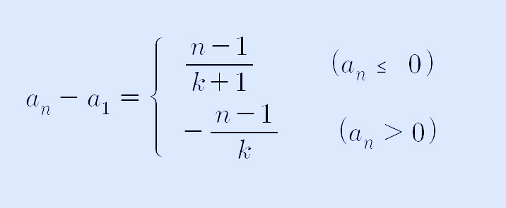
위 식은 1/k+1, -1/k가 숫자가 아닌 문자 k가 있을 뿐, 등차수열의 귀납적 정의, 즉 등차수열의 점화식이 될 수 있습니다. 즉, an을 좌변으로 이항하면 등차수열 형식으로 다음과 같이 쓸 수 있습니다.

위 수열 {an}은 n+1항에서 n항을 뺀 값이 n항이 0보다 작거난 같으면 1/k+1을 계산하고, n항이 0보다 크면 -1/k을 계산하라는 의미로 볼 수 있습니다. 또한, 위 식은 이 등차수열이 되는데, 공차가 각각 1/k+1, -1/k이므로 수열의 점화식을 정리하면 이 수열의 일반항은 다음과 같이 쓸 수 있습니다.


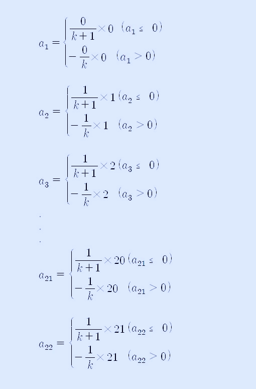
a1 = 0이므로 수열의 일반항 an은 다음과 같습니다.

위 식에서 1항부터 22항까지 하나씩 계산하면 아래와 같이 정리할 수 있겠네요.

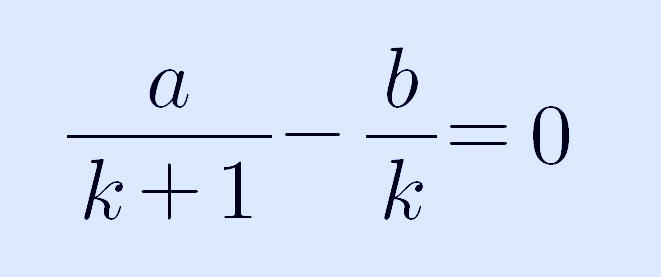
이 수열의 22번째 항은 0이므로 1/k+2에 바로 전항인 21을 곱해주는 것을 알 수 있습니다. 21항은 1/k+1의 몇 개나 더해져 있는지, -1/k가 얼마나 더해 있는지를 파악하기 위해, 1/k+1을 더한 횟수를 a라 하고, -1/k을 더한 횟수를 b라고 한다면 다음과 같은 식이 성립합니다.

또한, a22=0이므로 1/k+1을 a번 더해주고 -1/k을 b번만큼 더하면 0이 되어야 하므로 다음과 같은 식을 쓸 수 있습니다.


a+b=21에서 a=21-b이므로 이 a를 위 식에 대입하면 다음과 같이 계산할 수 있습니다.

위 식을 k에 관한 식으로 더 정리해 보겠습니다.

이제 거의 다 구한 듯합니다. a, b의 값은 횟수이므로 자연수이고, 조건에서 k도 자연수라고 했고, a+b=21이므로 b 대신에 1, 2, 3, 4, 5, 6을 대입하면 k는 자연수가 아니므로 안 되고, b=7이면 k=1이 됩니다. 또한 b=8이어도 되지 않겠네요. b=9면, k=3가 됩니다. b=10이면 k=10이 되겠네요. b가 11 이상이면 분모가 음수가 되므로 더 이상을 k값이 나오지 않겠네요. 그래서 k의 값은 1, 3, 10으로 모두 계산이 끝났습니다.
| 삼각함수 실생활 활용 사례 (1) | 2022.06.16 |
|---|---|
| 계차수열이란? 계차수열 일반항 공식 구하기 (0) | 2022.06.12 |
| 2023 6월 모의고사 수학 22번 풀이 - 함수의 극한과 연속 (1) | 2022.06.10 |
| 점과 직선 사이의 거리 공식 증명 (3) | 2022.06.03 |
| 자연상수 e, 무리수 e 계산 해 보기 (1) | 2022.05.28 |